La curva del Grande Gatsby
La curva del Grande Gatsby
“Il Grande Gatsby” è il titolo di un romanzo scritto nel 1925 da Francis Scott Fitzgerald e che ha avuto diversi adattamenti cinematografici. Il protagonista nasce in una famiglia contadina povera e fugge di casa nel tentativo di sfuggire ad un destino miserabile. Seppure in circostanze tutt’altro che limpide, riesce a diventare ricco al punto da organizzare feste sontuose a cui partecipa l’alta società Newyorkese.
Non entrerò nel dettaglio della trama: posso però dire che, dopo la pubblicazione del libro, la storia ha avuto un risvolto sorprendente, che avrebbe stupito lo stesso Fitzgerald. Il Grande Gatsby non avrebbe mai immaginato di diventare un punto di riferimento per valutare le possibilità che un bambino nato in una famiglia modesta possa raggiungere posizioni di prestigio ed il benessere economico.
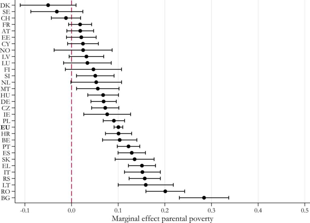
E’ ciò che ha fatto l’economista Alan Krueger, ex consigliere economico dell’amministrazione Obama, ottenendo un grafico che sintetizza visivamente la possibilità che una persona nata in un paese europeo possa realmente essere arbitra del suo destino, migliorando anche in modo significativo lo status sociale della famiglia d’origine. Volendo semplificare, il grafico misura quello che comunemente chiamiamo “ascensore sociale”, cioè la possibilità per chi è nato nei piani bassi della società di arrivare idealmente a vivere nell’attico.
La “Curva del Grande Gatsby” si basa su due variabili principali: il livello di disuguaglianza economica di un paese e la mobilità intergenerazionale, ovvero quanto la posizione economica dei figli dipenda da quella dei genitori.
Nel grafico le nazioni europee sono ordinate partendo da quelle che consentono la maggior mobilità generazionale per poi scendere via via fino ai paesi nei quali la condizione di nascita somiglia molto ad una condanna, alla quale difficilmente ci si potrà sottrarre.
Nei paesi con diseguaglianza elevata, la curva evidenzia una scarsa mobilità generazionale: questo vuol dire che ricchezza o povertà tendono ad accompagnare la stessa famiglia per generazioni. Al contrario, laddove c’è una minore diseguaglianza esistono molte più opportunità per chi nasce in una famiglia meno abbiente.
Quali sono i fattori che determinano una maggiore o minore disuguaglianza? L’istruzione prima di tutto. Ma anche il sistema di welfare, e la sanità pubblica: tutti settori nei quali l’Italia spende sempre meno, ed il risultato è che il posizionamento del nostro Paese è uno dei peggiori in Europa (peggio ci sono solo Russia, Lituania, Romania e Bulgaria). Non è un caso che in vetta alla classifica ci siano paesi del Nord Europa come Svezia e Danimarca.
Ora proviamo a confrontare questi dati con la retorica del merito con la quale ogni giorno si riempiono la bocca politici e dirigenti d’azienda in Italia. Il messaggio è chiaro: la ricchezza è un merito, la povertà è una colpa. E quindi se sei povero meriti di esserlo, e non puoi pretendere che chi è stato più meritevole di te debba aiutarti. Si spiega così ad esempio l’abolizione del reddito di cittadinanza, presente in varie forme in tutta Europa (ma in effetti esiste anche un’altra ragione. Ci tornerò).
Pensiamo alle famiglie più ricche del nostro paese. Pensiamo a chi occupa cariche pubbliche, ai grandi manager, ai personaggi della politica: salvo rare eccezioni, siamo quasi sempre di fronte a dinastie, a persone che hanno ereditato ricchezze e potere dalle generazioni che le hanno precedute. Nascere nella culla giusta: questo è stato il loro merito.
E allora diventa evidente che, dal momento che le famiglie che detengono il potere sono sempre le stesse, avranno tutto l’interesse a far sì che le diseguaglianze restino invariate, anzi si accrescano ulteriormente. Tanto più se le persone che dovrebbero impegnarsi per cambiare lo status quo non vanno a votare, lasciandogli campo libero.
I tagli alla scuola pubblica ed il sostegno agli istituti privati rappresentano probabilmente lo strumento più efficace in questo senso. Per secoli, a scuola sono andati solo i figli dei ricchi e dei nobili; se facevi il contadino non avevi bisogno di studiare, anche perché poi magari ti potevano venire strane idee. Ad esempio, di non fare più il contadino. Quindi è assolutamente strumentale fare in modo che il livello delle scuole sia sempre più basso, riservando l’eccellenza a quelle private, dove potrà studiare chi ha avuto “il merito” di nascere da genitori che possono pagargli la retta. Ma anche penalizzare la sanità pubblica è utile in tal senso: i “meritevoli” possono curarsi ed avere una qualità di vita migliore. Un modo efficacissimo per alimentare le differenze. Anche per questo il Reddito di Cittadinanza andava abolito: le differenze le riduceva, anziché alimentarle.
Ci piace raccontarci che siamo una nazione civile, all’avanguardia per i valori che esprime, ma la verità è che oggi un figlio di operai si troverà molto spesso a dover scegliere: o si accontenta di un’esistenza modesta, o se ne va in un paese che gli offre più opportunità (cioè praticamente tutti quelli che ci circondano).
Nel 1789, alla vigilia della rivoluzione francese, la stragrande maggioranza delle popolazione costituiva il cosiddetto “terzo stato”. Non essendo nobili o religiosi, non avrebbero mai potuto aspirare a cariche pubbliche: eppure erano loro a pagare le tasse, in quanto nobiltà e clero ne erano esentati. La società italiana del 2025 è così diversa? La principale differenza è che non si intravede alcun segnale di una rivoluzione che possa riportare un po’ di equità.
Diciamo che al giorno d’oggi evocare la ghigliottina appare un pochino eccessivo. E allora, forse, ciò che servirebbe davvero è un buon ascensorista capace di riparare un ascensore sociale bloccato da troppo tempo.
Cover image license https://creativecommons.org/licenses/by-nc-sa/2.0/



















Molto bello Luca, grazie!